​8种食物代替主食(哪些食物代替主食)

​8种食物代替主食(哪些食物代替主食)

8种食物代替主食(哪些食物代替主食) 8种食物一周主食一周代替低碳主食 在日常生活中,有不少减肥食物明明能当主食,8种食物代替主食有哪些,8种食物代替主食菜谱,却被做成菜来...

2025-11-19 17:10:47

​韭菜盒子的面怎么和好吃 韭菜盒子的面怎么和用什么水

​韭菜盒子的面怎么和好吃 韭菜盒子的面怎么和用什么水

韭菜盒子的面怎么和好吃 韭菜盒子的面怎么和用什么水 使用温热水和面,和面前需在面粉里面加入少量的盐,和面时需倒边温热水边用筷子稍微搅拌,和好的面需盖上湿的屉布醒半个...

2025-11-17 22:13:54

​红烧肉入口即化的秘诀视频播放 入口即化的红烧肉窍门

​红烧肉入口即化的秘诀视频播放 入口即化的红烧肉窍门

红烧肉入口即化的秘诀视频播放 入口即化的红烧肉窍门 选择新鲜、肥瘦相间的五花肉,使用砂锅炖,炖煮1-2小时左右。想要红烧肉入口即化不可以使用炒锅煮,最好使用砂锅或者高压...

2025-11-17 22:11:49

​高铁可以买儿童票吗 高铁可以买儿童票吗年龄吗

​高铁可以买儿童票吗 高铁可以买儿童票吗年龄吗

高铁可以买儿童票吗 高铁可以买儿童票吗年龄吗 高铁可以买儿童票。根据铁路部门的规定,身高在1.2-1.5米的儿童需要购买儿童票,购买儿童票可以使用儿童自己的有效身份证,也可以...

2025-11-17 22:09:43

​高等数学,中值定理之罗尔定理,证明

​高等数学,中值定理之罗尔定理,证明

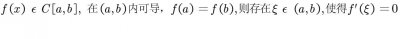
高等数学,中值定理之罗尔定理,证明 罗尔定理定义 我们先来看一下罗尔定理的具体定义: 我们来进行拆解,首先此定理的成立需要 满足三个条件 ,即如下: 在[a,b]区间上,函数f...

2025-11-17 22:07:38

​科威特为什么这么热 科威特为啥这么热

​科威特为什么这么热 科威特为啥这么热

科威特为什么这么热 科威特为啥这么热 气候环境、热穹顶效应、全球变暖等因素都是科威特夏季炎热的原因,科威特位于西亚地区阿拉伯半岛东北部,同伊朗隔海相望,该国首都科威...

2025-11-17 22:05:32

​金银花晾干好还是晒干好 金银花晒干还是阴干

​金银花晾干好还是晒干好 金银花晒干还是阴干

金银花晾干好还是晒干好 金银花晒干还是阴干 采摘后立即进行干燥,在天气晴朗时晾晒,用可以将金银花铺展开的容具,一般是使用簸箕,竹箔或者草席,在光照充足的地方晾晒,避...

2025-11-17 22:03:26

​金属拉链是什么材质 哪种拉链不是金属

​金属拉链是什么材质 哪种拉链不是金属

金属拉链是什么材质 哪种拉链不是金属 可以用打火机稍微烧拉链头的一角,如果不会融化则就是金属拉链。也可以摸一下,一般通过触摸都能从手感上大概判断出来是否是金属拉链,...

2025-11-17 22:01:21

​解决印度支指哪里 法属印度支指哪里

​解决印度支指哪里 法属印度支指哪里

解决印度支指哪里 法属印度支指哪里 印度支一般指印度支那,名叫中南半岛,是位于东南亚的一个半岛,为亚洲南部三大半岛之一,位于中国和南亚次大陆之间。中南半岛文明历史悠...

2025-11-17 21:59:15

​酱油过期了还能吃吗吃一次有事吗 酱油过期两个月吃了有什么危害

​酱油过期了还能吃吗吃一次有事吗 酱油过期两个月吃了有什么危害

酱油过期了还能吃吗吃一次有事吗 酱油过期两个月吃了有什么危害 不能吃了。过期后的酱油钠离子容易产生沉淀,渗入人体内会产生钠盐,加重肾脏负担,不利于身体健康。且过期后...

2025-11-17 21:57:09

​姨妈巾保质期多久 姨妈巾的保质期是多久

​姨妈巾保质期多久 姨妈巾的保质期是多久

姨妈巾保质期多久 姨妈巾的保质期是多久 一般姨妈巾的保质期是3年左右。这个保质期是指没有开封情况下的保质期,如果开封了的话一定要尽快用完,最久也不要超过三个月,开封超...

2025-11-17 21:55:04

​怀孕期间夫妻可以同房吗

​怀孕期间夫妻可以同房吗

怀孕期间夫妻可以同房吗 怀孕时可不可以同房? 关于怀孕后可不可以同房的问题,很多爸爸妈妈都有两个看法: 第一个看法是,怀孕以后妈妈的身体比较虚弱,为了保护妈妈以及肚子...

2025-11-15 10:31:36

​复婚的人幸福吗(那些离婚又复婚的夫妻)

​复婚的人幸福吗(那些离婚又复婚的夫妻)

复婚的人幸福吗(那些离婚又复婚的夫妻) 01 陈小春曾经说过一句话:我一旦结婚后肯定不会离婚,无论发生什么事情,我都会想法解决,让婚姻能够长久,哪怕是对方有了外遇,我也...

2025-11-15 10:29:30

​孙策是被谁杀的(孙策真实死因)

​孙策是被谁杀的(孙策真实死因)

孙策是被谁杀的(孙策真实死因) 孙策之死背后暗含啥阴谋?真正的凶手是谁? 在历史的记载中,孙策之死扑所迷离,孙策之死,背后暗含着什么阴谋?正真的凶手是谁?谁是最大受益者谁...

2025-11-15 10:27:25

​国庆小报素材大全,手抄报、电子小报,你要的统统都有

​国庆小报素材大全,手抄报、电子小报,你要的统统都有

国庆小报素材大全,手抄报、电子小报,你要的统统都有 欢乐的国庆节就要来啦,小伙伴们是不是十分激动呢。 国庆节,我们有一万种方式表达自己对祖国的爱意以及祝福。 那么国庆...

2025-11-15 10:25:19

​怎么让面部皮肤更紧致(怎么紧致脸部皮肤)

​怎么让面部皮肤更紧致(怎么紧致脸部皮肤)

怎么让面部皮肤更紧致(怎么紧致脸部皮肤) 减肥、怀孕、衰老都会导致皮肤松弛,失去弹性。不过,无论是肚子、手臂还是大腿上的肌肤松弛,都是有办法可以拯救的。只要遵循适当的...

2025-11-15 10:23:13

​微血管病有哪些(保护微血管就是保护人体的)

​微血管病有哪些(保护微血管就是保护人体的)

微血管病有哪些(保护微血管就是保护人体的) 人体的血管遍布全身,其数量极其庞大,大约有250万亿根左右,将血管连接起来,其长度可以达到15万公里,绕地球两周半从大血管、四...

2025-11-15 10:21:08

​菠萝蜜切开一半剩下的不剥开能保存么,菠萝蜜切一半还能放熟吗

​菠萝蜜切开一半剩下的不剥开能保存么,菠萝蜜切一半还能放熟吗

菠萝蜜切开一半剩下的不剥开能保存么,菠萝蜜切一半还能放熟吗 本文目录 1.菠萝蜜切一半还能放熟吗2.菠萝蜜切一半还能放熟吗3.菠萝蜜切一半还能放熟吗4.菠萝蜜可以剥一半留一半吗...

2025-11-15 10:19:02

​长江商学院简历(明星和富豪们都往里扎堆)

​长江商学院简历(明星和富豪们都往里扎堆)

长江商学院简历(明星和富豪们都往里扎堆) 长江商学院是由李嘉诚基金会捐资创办并获得国家正式批准,拥有独立法人资格的非营利性教育机构,是国务院学位委员会批准的“工商管...

2025-11-15 10:16:56

​哈密附近的旅游景点,哈密市区一日游去哪里

​哈密附近的旅游景点,哈密市区一日游去哪里

哈密附近的旅游景点,哈密市区一日游去哪里 哈密附近的旅游景点大全,哈密市区一日游去哪里 1、哈密十大景点依次为:哈密雅丹地貌生态公园、哈密魔鬼城景区、巴里坤草原、巴里...

2025-11-15 10:14:50

​良莠不齐和参差不齐区别,参差不齐良莠不齐鱼龙混杂

​良莠不齐和参差不齐区别,参差不齐良莠不齐鱼龙混杂

良莠不齐和参差不齐区别,参差不齐良莠不齐鱼龙混杂 本文目录 1.参差不齐良莠不齐鱼龙混杂2.泥沙俱下 鱼龙混杂 良莠不齐 参差不齐 鱼目混珠 这些成语有什么区别3.稂莠不齐和良莠不...

2025-11-15 10:12:45

​比利时人口及面积(比利时华人的真实生活)

​比利时人口及面积(比利时华人的真实生活)

比利时人口及面积(比利时华人的真实生活) 比利时的现状,带你看看真实的比利时。 比利时王国,简称“比利时”,位于西欧,陆地面积30688平方千米,大约是1/13个云南大,领海及专属...

2025-11-14 10:44:00

​黄光裕进去的根本原因,国美黄光裕已经出狱,很有可以进去生鲜领域?不知道怎

​黄光裕进去的根本原因,国美黄光裕已经出狱,很有可以进去生鲜领域?不知道怎

黄光裕进去的根本原因,国美黄光裕已经出狱,很有可以进去生鲜领域?不知道怎 么看? 国美黄光裕已经出狱,很有可以进去生鲜领域不知道怎么看 黄光裕在商场上是有名的“狠”,...

2025-11-14 10:41:54

​每天跑10公里坚持的人多可怕, 坚持长跑十余年,每天至少10公里,你敢信这位

​每天跑10公里坚持的人多可怕, 坚持长跑十余年,每天至少10公里,你敢信这位

每天跑10公里坚持的人多可怕, 坚持长跑十余年,每天至少10公里,你敢信这位 大神已经78岁了 有人跑步为了减肥,有人为了打发时间,有人则是喜欢运动,但下面要提到的这位大神,...

2025-11-14 10:39:48

​水印制作(水印制作方法)

​水印制作(水印制作方法)

水印制作(水印制作方法) 本篇文章给大家谈谈水印制作,以及水印制作方法对应的知识点,希望对各位有所帮助,不要忘了收藏本站喔。 水印怎么制作 1、以下是一些常见的PS水印制...

2025-11-14 10:37:43

​道光帝的儿子(道光帝的儿子简介)

​道光帝的儿子(道光帝的儿子简介)

道光帝的儿子(道光帝的儿子简介) 今天给各位分享道光帝的儿子的知识,其中也会对道光帝的儿子简介进行解释,如果能碰巧解决你现在面临的问题,别忘了关注本站,现在开始吧!...

2025-11-14 10:35:37

​快递寄烟最多能寄多少,快递香烟最多几条

​快递寄烟最多能寄多少,快递香烟最多几条

快递寄烟最多能寄多少,快递香烟最多几条 本文目录 1.快递香烟最多几条2.香烟寄快递最多寄几包3.邮寄烟一次可以寄多少包4.快递香烟一次最多能寄几条烟 快递香烟最多几条 最多两条。...

2025-11-14 10:33:31

​英达现任妻子(英达现任妻子梁欢照片)

​英达现任妻子(英达现任妻子梁欢照片)

英达现任妻子(英达现任妻子梁欢照片) 今天给各位分享英达现任妻子的知识,其中也会对英达现任妻子梁欢照片进行解释,如果能碰巧解决你现在面临的问题,别忘了关注本站,现在...

2025-11-14 10:31:25

​工业草酸的作用与用途,草酸的用途是什么

​工业草酸的作用与用途,草酸的用途是什么

工业草酸的作用与用途,草酸的用途是什么 本文目录 1.草酸的用途是什么2.草酸的作用与用途3.草酸的作用及使用方法4.草酸的主要用途是什么? 草酸的用途是什么 1、草酸用作还原剂和漂...

2025-11-14 10:29:19

​没有赶上火车的车票可以退,火车票没赶上车可以退票吗

​没有赶上火车的车票可以退,火车票没赶上车可以退票吗

没有赶上火车的车票可以退,火车票没赶上车可以退票吗 本文目录 1.火车票没赶上车可以退票吗2.没赶上火车能退票吗3.没赶上火车能退票吗4.火车票没赶上可以退吗 火车票没赶上车可以...

2025-11-14 10:27:13